Ordinance Limiting Number of Unrelated People Living Together
December 14, 2017
Unfortunately, as you may know, there is an ordinance in the Town of Jackson Municipal Code that states that no more than three (3) unrelated individuals can reside in a single family home or multifamily unit, regardless of how many bedrooms it has. While we definitely don’t want overcrowding or un-livable conditions in workforce housing, there are many units (we all know a few or have lived in a few), that can house more than three people due to multiple kitchens, living areas, bathrooms, etc.
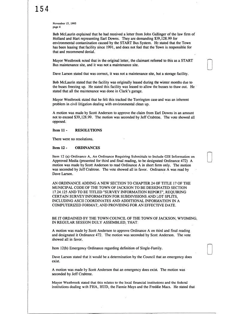
Originally the law allowed five (5) unrelated individuals to reside together. This was changed to three (3) in 1993 when the housing situation and community makeup was very different than it is now. Below are the minutes from that meeting, you can click to enlarge and read these. To download the full file, click here.
To do something about this ordinance, please sign our petition to remove the limitation of 3 and bring it back up to 5. We believe that it is important to fully utilize available housing in Jackson.



